我们的产品

广泛应用于聚氨酯、橡胶、塑料、润滑油、树脂、涂料等多种高分子材料。

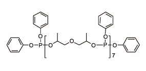
YIPHOS® 2103

  • 化学名称:

    聚(二丙二醇)苯基亚磷酸酯(PDP)

  • 分子式:

    C102H134O31P8

  • 分子量:

    2100

  • CAS :

    80584-86-7

物理特性

  • 外观

    无色透明液体

  • 磷含量(%)

    11.8

  • 色号(APHA)

    ≤30

  • 酸值(mg KOH/g)

    ≤0.10

  • 折光率(25℃)

    1.5300-1.5500

  • 比重(25℃)

    1.130-1.250

TGA(℃,% MASS LOSS)

  • 热失重(%)

    5

    10

    50

  • 温度(℃)

    167

    198

    272

应用说明

YIPHOS® 2103 是一种高分子量、高磷含量的聚合型亚磷酸酯抗氧剂。适用于多用聚合物,包括 PVC、ABS、聚氨酯、聚碳酸酯和涂料,在加工与应用中能提高产品的热稳定性和长效稳定性。YIPHOS® 2103 作为辅助抗氧剂和螯合剂用于硬质或软质 PVC 制品,可使 PVC 保持更亮、更持久的颜色,并能提高其热稳定性。YIPHOS® 2103 应用在聚氨酯材料中,对酚黄及气熏(NOx)黄变有显著的抑制作用,并提高其热稳定性和长效稳定性。建议添加量:0.1~2.0%。

在线留言