我们的产品

广泛应用于聚氨酯、橡胶、塑料、润滑油、树脂、涂料等多种高分子材料。

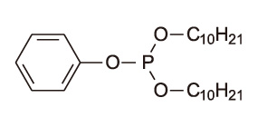
YIPHOS® 2050

  • 化学名称:

    亚磷酸一苯二异癸酯(PDDP)

  • 分子式:

    C26H47O3P

  • 分子量:

    438

  • CAS :

    25550-98-5

物理特性

  • 外观

    无色透明液体

  • 磷含量(%)

    7.1

  • 色号(APHA)

    ≤50

  • 酸值(mg KOH/g)

    ≤0.10

  • 折光率(25℃)

    1.4770-1.4820

  • 比重(25℃)

    0.942-0.952

TGA(℃,% MASS LOSS)

  • 热失重(%)

    5

    10

    50

  • 温度(℃)

    194

    221

    279

应用说明

YIPHOS® 2050 是一种芳基烷基亚磷酸酯抗氧剂,适用于多种聚合物,包括聚碳酸酯、涂料、聚烯烃、ABS和PET纤维。在加工和后期均能提供良好的色泽改良性和热稳定性。YIPHOS® 2050 作为高效的辅助稳定剂和螯合剂,在硬质或软质PVC材料中使用,能为PVC材料提高更明亮、更均匀的颜色及透明度,并提高PVC的热稳定性。建议添加量:0.1~2.0%。

在线留言