Our products

Zhiyi has been providing high-quality products and anti-yellowing solutions to polymer industries for 24 years. The products are widely used in polyurethane, rubber, plastic, lubricating oil, resin, coating, etc.

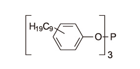
YIPHOS® 2039

  • Chemical Name:

    Tris(nonyphenyl) Phosphite (TNPP)

  • Molecular Formula:

    C45H69O3P

  • Molecular Weight:

    688

  • CAS :

    26523-78-4

Physical Properties

  • Appearance

    Clear Viscous Liquid

  • Phosphorus Content (%)

    4.5

  • Color (APHA)

    ≤100

  • Acid Value (mg KOH/g)

    ≤0.15

  • Refractive Index (25℃)

    1.5255-1.5280

  • Specific Gravity (25℃)

    0.980-0.994

Applications

YIPHOS® 2039 is liquid phosphite include low color and low nonylphenol content. In most polymers, it is a cost effective, high purity stabilizer that improves color and processing stability during recovery, drying, compounding processing. Synergism is realized when this product is combined with other stabilizers such as hindered phenols. It may be added alone or in combination with the monomers and/or in antioxidant emulsions during recovery and/or during compounding.YIPHOS® 2039 is a versatile phosphite stabilizer which is useful in polymers such as HDPE, LDPE, SBR, ABS, PVC, etc.

Inquiry